Home
முகப்பு
About Us
எங்களைப் பற்றி
Mission & Vision
Achievements & Special features
RBI Licence
Bank Holidays
GST Number
Management
நிர்வாகம்
E-Forms
பதிவிறக்கம்
Gallery
புகைப்பட தொகுப்பு
Contact us
தொடர்புக்கு
Audit Report
நிதி நிலை அறிக்கை
Interest
வட்டி விகிதம்
Deposit Interest
Loan interest
Calculator
-->
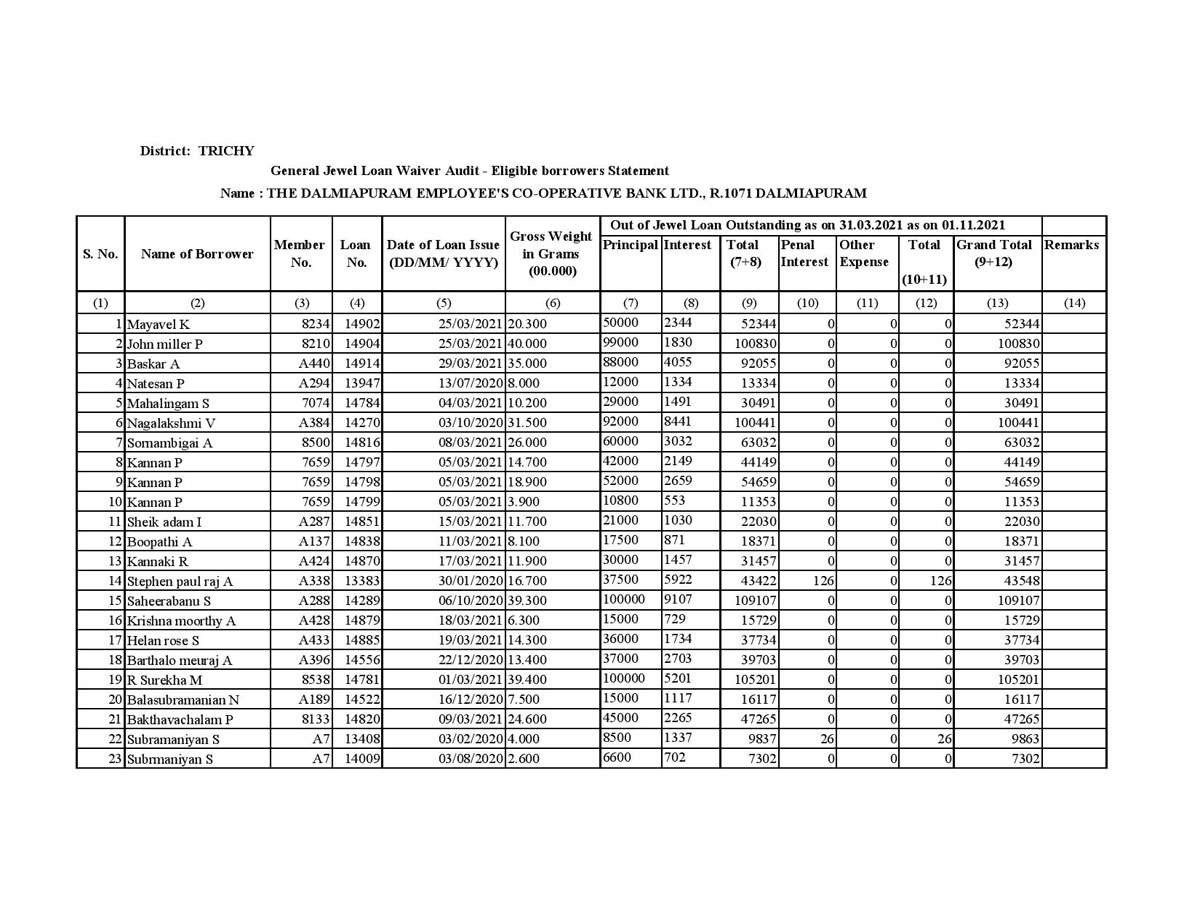
நகைக் கடன் தள்ளுபடி பட்டியல்
Go Back